无障碍
关怀版
登录
注册
网站
首页
魅力
城市
政务
公开
政务
服务
政民
互动
数据
发布
旗水利局
当前位置:
网站首页
>
政务公开
>
旗水利局
>
财政预决算
索引号:
11152128011619116H/202209-00001
组配分类:
财政预决算
发布机构:
旗水利局
主题分类:
综合政务
名称:
2021年度水利局本级决算公开
文号:
无
成文日期:
2022-09-29
发布日期:
2022-09-29
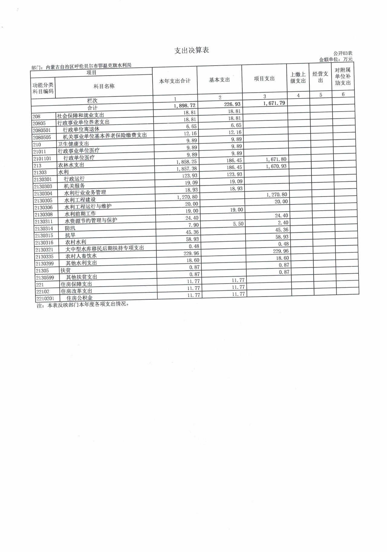
2021年度水利局本级决算公开
发布时间:2022-09-29
来源:旗水利局
浏览次数:
字体:[
大
中
小
]
文本下载↓
08.jpg【422.25 KB】
09.jpg【367 KB】
06.jpg【437.86 KB】
11.jpg【421.03 KB】
10.jpg【363.11 KB】
07.jpg【424.85 KB】
12.jpg【410.51 KB】
13.jpg【433.71 KB】
01.jpg【162.4 KB】
03.jpg【298.91 KB】
02.jpg【284.87 KB】
04.jpg【234.53 KB】
06.jpg【437.86 KB】
05.jpg【462.88 KB】
01.jpg【162.4 KB】
打印
保存
关闭
用微信扫描二维码
分享至好友和朋友圈
×